DÜNYA SAĞLIK ÖRGÜTÜ’NÜN 21.02.2020 TARİHLİ YENİ KORONAVİRÜS (COVID-19) DURUM RAPORU
Halen yeni koronovirüsün yaşayabilirliğini ve sağ kalım süresini değerlendirmek için yapılan araştırmalar devam etmektedir. Genel olarak koronavirüsler, -20 ° C'de iki yıla kadar hayatta kaldıklarını gösteren diğer koronavirüs çalışmalarına göre, donmuş bir durumda çok stabildir.
21 Şubat 2020’ye göre bildirilen veriler*
ÖNEMLİ GELİŞMELER
- Son 24 saat içinde yeni bir ülkeden COVID-19 vakası bildirilmedi.
- Ulusal gıda güvenliği otoriteleri, Uluslararası Gıda Güvenliği Otoriteleri Ağı (INFOSAN) aracılığıyla COVID-19'a neden olan SARS-CoV-2'nin virüsün bulaşmasında gıdaların potansiyel rolü yanı sıra uluslararası ticarete konu olan gıdalar üzerinde kalıcı olma potansiyeli hakkında daha fazla bilgiye ihtiyaç vardır. Halen SARS-CoV-2'nin yaşayabilirliğini ve sağ kalım süresini değerlendirmek için yapılan araştırmalar bulunmaktadır. Genel bir kural olarak, çiğ veya az pişmiş hayvan ürünlerinin tüketiminden kaçınılmalıdır. Çiğ et, çiğ süt veya çiğ hayvan organları, pişmemiş yiyeceklerle çapraz kontaminasyondan kaçınmak için dikkatle kullanılmalıdır.
|
SAYILARLA DURUM |
|
Total ve son 24 saatte yeni vaka sayıları |
|
Küresel |
|
76. 769 doğrulanmış (1.021 yeni) |
|
Çin ** |
|
75.569 doğrulanmış (894 yeni) |
|
2.239 ölüm (118 yeni) |
|
Çin Dışında |
|
1.200 doğrulanmış (127 yeni) |
|
26 ülke |
|
8 Ölüm |
|
DSÖ RİSK DEĞERLENDİRMESİ |
|
Çin : Çok Yüksek |
|
Bölgesel düzeyde : Yüksek |
|
Küresel düzeyde : Yüksek |
* Durum raporu uluslararası yetkililerin Orta Avrupa Saat Dilimine göre sabah 10 itibariyle verdiği bilgileri içermektedir.
** Bilgi Çin tarafından sağlanmıştır. "Doğrulanmış vakalar" hem laboratuvar onaylı hem de klinik olarak teşhis edilmiş vakaları içerir (şu anda yalnızca Çin, Hubei eyaleti için geçerlidir)
Şekil 1. 21 Şubat 2020 itibariyle doğrulanmış COVID-19 vakalarının bildirildiği ülkeler, yönetim bölgeleri veya bölgeler


ODAK KONU: Gıda ile ilgili hususlar
Yeni COVID-19'a SARS-CoV-2 virüsü neden olmaktadır. SARS-CoV-2 için en olası ekolojik rezervuarlar yarasalardır, ancak virüsün spesifik tür bariyerini (bir virüsün bir türden diğerine yayılmasını önleyen doğal mekanizmayı)aşarak, başka bir ara konakçı hayvandan insanlara atladığına inanılmaktadır. Bu ara konakçı hayvan, henüz tanımlanmamış evcil bir hayvan, vahşi bir hayvan, evcil bir vahşi hayvan olabilir.
Şiddetli Akut Solunum Yolu Sendromu koronavirüsü (SARS-CoV) ve Orta Doğu Solunum Sendromu Koronavirüsü (MERS-CoV) gibi daha önceki ilgili koronavirüs salgınlarından elde edilen deneyimler, gıda tüketimi yoluyla bulaşmanın gerçekleşmediğini göstermektedir. Şimdiye kadar, SARS-CoV-2 virüsünün gıda yoluyla bulaştığına dair herhangi bir rapor bulunmamaktadır. Bununla birlikte, bu virüslerin hayvansal kökenli çiğ gıdalar üzerinde devam etme potansiyeli hakkında endişeler ifade edilmiştir.
Halen SARS-CoV-2'nin yaşayabilirliğini ve sağkalım süresini değerlendirmek için yapılan araştırmalar bulunmaktadır. Genel olarak koronavirüsler, -20 ° C'de iki yıla kadar hayatta kaldıklarını gösteren diğer koronavirüs çalışmalarına göre, donmuş bir durumda çok stabildirler. SARS-CoV ve MERS-CoV üzerinde yapılan çalışmalar, bu virüslerin sıcaklık, nem ve ışık gibi parametrelerin kombinasyonuna bağlı olarak birkaç güne kadar farklı yüzeylerde kalabileceğini göstermektedir. Örneğin, donma sıcaklığında (4 ° C), MERS-CoV 72 saate kadar yaşayabilir. Diğer koronavirüs türleri hakkındaki mevcut kanıtlar, koronavirüslerin belirli bir süre için düşük ve dondurucu sıcaklıklarda stabil görünmesine rağmen, gıda hijyeni ve iyi gıda güvenliği uygulamalarının onların gıda yoluyla bulaşmasını önleyebileceğini göstermektedir. Özellikle, koronavirüsler termolabildir, bu da normal pişirme sıcaklıklarına (70 ° C) duyarlı oldukları anlamına gelir. Bu nedenle, genel bir kural olarak, çiğ veya az pişmiş hayvansal ürünlerin tüketiminden kaçınılmalıdır. Çiğ et, çiğ süt veya çiğ hayvan organları, pişmemiş yiyeceklerle çapraz kontaminasyonu önlemek için dikkatle kullanılmalıdır.
SARS-CoV ve MERS-CoV, en yaygın temizlik ve dezenfeksiyon protokollerine duyarlıdır ve SARS-Cov-2'nin farklı davrandığına dair herhangi bir belirti yoktur.
Gıda güvenliği ile ilgili ek öneriler ve materyaller, DSÖ ve Birleşmiş Milletler Gıda ve Tarım Örgütü (FAO) web sitelerinde bulunabilir:
DSÖ: Daha Güvenli Gıda için Beş Anahtar El Kitabı: https://www.who.int/foodsafety/publications/5keysmanual/en/
Gezginler için Güvenli Gıda Rehberi: https://www.who.int/foodsafety/publications/travellers/en/
FAO ve Pan Amerikan Sağlık Örgütü (PAHO): Gıda İşleme El Kitabı: http://www.fao.org/3/i7321en/I7321EN.pdf
DSÖ: Coronavirus ile ilgili Soru-Cevaplar: https://www.who.int/news-room/q-a-detail/q-a-coronaviruses
SÜRVEYANS
Tablo 1. Çin'deki vilayetler, bölgeler ve şehirler tarafından bildirilen COVID-19 akut solunum hastalığı vakaları, 21 Şubat 2020


Tablo 2. Çin dışında doğrulanan COVID-19 vakalarının bildirildiği ülkeler, bölgeler veya alanlar, 21 Şubat 2020
|
Ülke/Yönetim Bölgesi/Bölge |
Doğrulanmış* (yeni) Vakalar |
Muhtemel Maruz Kalma Yeri** |
|
Toplam Ölüm (yeni) |
||
|
Çin (yeni) |
Bildiren Ülke ve Çin Dışında (yeni) |
Bildiren Ülkede (yeni) |
||||
|
Batı Pasifik Bölgesi |
||||||
|
Güney Kore |
204 (100) |
13 (0) |
4 (0) |
158 (86) |
29 (14) |
1 (1) |
|
Japonya |
93 (8) |
27 (0) |
5 (2) |
57 (5) |
4(1) |
1 (0) |
|
Singapur |
85 (1) |
23 (0) |
0 (0) |
55 (1) |
7 (0) |
0 (0) |
|
Malezya |
22 (0) |
17 (0) |
1 (0) |
2 (0) |
2 (0) |
0 (0) |
|
Vietnam |
16 (0) |
8 (0) |
0 (0) |
8 (0) |
0 (0) |
0 (0) |
|
Avustralya |
17 (0) |
12 (0) |
2 (2) |
3 (0) |
0 (0) |
0 (0) |
|
Filipinler |
3 (0) |
3 (0) |
0 (0) |
0 (0) |
0 (0) |
1 (0) |
|
Kamboçya |
1 (0) |
1 (0) |
0 (0) |
0 (0) |
0 (0) |
0 (0) |
|
Güney Doğu Asya Bölgesi |
||||||
|
Tayland |
35 (0) |
23 (0) |
0 (0) |
5 (0) |
7 (0) |
0 (0) |
|
Hindistan |
3 (0) |
3 (0) |
0 (0) |
0 (0) |
0 (0) |
0 (0) |
|
Nepal |
1 (0) |
1 (0) |
0 (0) |
0 (0) |
0 (0) |
0 (0) |
|
Sri Lanka |
1 (0) |
1 (0) |
0 (0) |
0 (0) |
0 (0) |
0 (0) |
|
Amerika Bölgesi |
||||||
|
Amerika Birleşik Devletleri |
15 (0) |
13 (0) |
0 (0) |
2 (0) |
0 (0) |
0 (0) |
|
Kanada |
8 (0) |
7 (0) |
0 (0) |
0 (0) |
1 (0) |
0 (0) |
|
Avrupa Bölgesi |
||||||
|
Almanya |
16 (0) |
2 (0) |
0 (0) |
14 (0) |
0 (0) |
0 (0) |
|
Fransa |
12 (0) |
5 (0) |
0 (0) |
7 (0) |
0 (0) |
1 (0) |
|
Birleşik Krallık |
9 (0) |
2 (0) |
6 (0) |
1 (0) |
0 (0) |
0 (0) |
|
İtalya |
3 (0) |
3 (0) |
0 (0) |
0 (0) |
0 (0) |
0 (0) |
|
Rusya |
2 (0) |
2 (0) |
0 (0) |
0 (0) |
0 (0) |
0 (0) |
|
İspanya |
2 (0) |
0 (0) |
2 (0) |
0 (0) |
0 (0) |
0 (0) |
|
Belçika |
1 (0) |
1 (0) |
0 (0) |
0 (0) |
0 (0) |
0 (0) |
|
Finlandiya |
1 (0) |
1 (0) |
0 (0) |
0 (0) |
0 (0) |
0 (0) |
|
İsveç |
1 (0) |
1 (0) |
0 (0) |
0 (0) |
0 (0) |
0 (0) |
|
Doğu Akdeniz Bölgesi |
||||||
|
Birleşik Arap Emirlikleri |
9 (0) |
6 (0) |
0 (0) |
2 (0) |
1 (0) |
0 (0) |
|
İran |
5 (3) |
0 (0) |
0 (0) |
5 (3) |
0 (0) |
2 (0) |
|
Mısır |
1 (0) |
0 (0) |
0 (0) |
1 (0) |
0 (0) |
0 (0) |
|
Tüm Bölgeler İçin alt toplam |
566 (114) |
175 (0) |
20 (4) |
320 (95) |
51 (15) |
6 (0) |
|
Uluslararası Taşıt*** |
634 (13) |
0 (0) |
0 (0) |
0 (0) |
634 (13) |
2 (0) |
|
Genel Toplam |
1200 (127) |
175 (0) |
20 (4) |
320 (95) |
685 (28) |
8 (0 |
* Vaka sınıflandırmaları DSÖ’nün COVID-19 vaka tanımlarına dayanmaktadır. ( https://www.who.int/publications-detail/global-surveillance-for-human-infection-with-novel-coronavirus-(2019-ncov) )
** Bulaşmanın yeri, mevcut resmi verilerin DSÖ analizine göre sınıflandırılır ve ek veriler elde edildikçe yeniden sınıflandırmaya tabi olabilir.
*** Şu anda Japon karasularında bulunan bir yolcu gemisinde tespit edilen vakalar.
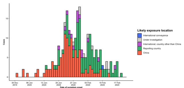
Şekil 2: Çin dışında, semptomların başladığı tarihe göre doğrulanan COVID-19 vakalarının (n=249) epidemik eğrisi ve seyahat geçmişi, 21 Şubat 2020


Şekil 2 için not: Çin dışında bildirilen 1200 vakanın 30’u asemptomatikken tespit edilmiştir. Geri kalan 1170 vaka için, başlangıç tarihi hakkında bilgi sadece epidemiyolojik eğride sunulan 249 vaka için mevcuttur.
Şekil 3: Raporlama ve seyahat geçmişine göre Çin dışında tespit edilen COVID-19 vakalarının (n = 1200) epidemik eğrisi, 21 Şubat 2020


STRATEJİK HEDEFLER
DSÖ'nün söz konusu müdahaleye yönelik stratejik hedefleri:
- Yakın temaslılar ve sağlık çalışanları arasındaki ikincil enfeksiyonları azaltmak, hastalığın daha fazla yayılması ve Çin'den uluslararası yayılmaların önlenmesi dahil olmak üzere insandan insana bulaşmayı sınırlamak*;
- Enfekte hastalar için optimize edilmiş bakım sağlamak da dahil, hastaların erken teşhis edilmesi, izole edilmesi ve bakımının yapılması;
- Hayvan kaynağından bulaşmayı tanımlamak ve azaltmak;
- Virüsle ilgili önemli olan bilinmeyenleri ve klinik şiddeti, bulaşma ve enfeksiyonun kapsamı, tedavi seçeneklerini ele almak ve teşhis, tedavi ve aşıların geliştirilmesini hızlandırmak;
- Kritik risk ve durumla ilgili bilgileri tüm topluluklara iletmek ve yanlış bilgilendirmeyle mücadele etmek;
- Çok sektörlü ortaklıklar yoluyla sosyal ve ekonomik etkiyi en aza indirgemek.
*Bu, hızlı tespit, vakaların teşhisi ve yönetimi, temaslıların tespit edilmesi ve takibi, sağlık tesislerinde enfeksiyon önleme ve kontrol, gezginler için sağlık önlemlerinin uygulanması, popülasyonda bilinçlendirme ve risk iletişimi gibi halk sağlığı önlemlerinin bir kombinasyonu ile elde edilebilir.
HAZIRLIK VE YANIT
- 2019-nCoV ile ilgili tüm teknik rehberlik belgelerini görüntülemek için lütfen bu adresi ziyaret edin: https://www.who.int/emergencies/diseases/novel-coronavirus-2019/technical-guidance
- DSÖ, Uluslararası Hava Taşımacılığı Birliği (IATA) ile yakın işbirliği içinde çalışmaktadır ve kabin ekibine ve havaalanı çalışanlarına ülke sorgularına dayanarak tavsiyelerde bulunmak üzere ortaklaşa bir rehber belge geliştirmiştir. Rehber, IATA web sayfasında bulunabilir.
- DSÖ ilk vakaların soruşturulması için bir protokol geliştirmiştir “First Few X (FFX) Cases and contact investigation protocol for 2019-novel coronavirus (2019-nCoV) infection”. Protokol, herhangi bir ülkede tespit edilen ilk 2019-nCoV enfeksiyonlu vakaların temel klinik, epidemiyolojik ve virolojik özelliklerini erken anlamak, vakaları yönetmek ve potansiyel yayılmayı azaltmak için halk sağlığı rehberliğinin geliştirilmesi ve güncellenmesi için tasarlanmıştır.
- DSÖ, vakaların bildirildiği Üye Devletler ile düzenli ve doğrudan temas halindedir. DSÖ ayrıca durum hakkında diğer ülkeleri bilgilendirmekte ve talep halinde destek sağlamaktadır.
- DSÖ, laboratuvar teşhisi, yeni koronavirüs (2019-nCoV) salgını bağlamında evde bakım ve sağlık ortamlarında maske kullanımı ile ilgili tavsiyeler, klinik yönetimi, sağlık ortamlarında enfeksiyonun önlenmesi ve kontrolü, yeni koronavirüs şüphesi olan hastalar için evde bakım, risk iletişimi ve topluluk katılımı ve yeni koronavirüs (2019-nCoV) bulaşan insanlar için Global Sürveyans gibi geçici rehberler geliştirmiştir.
- Doğrulanmış hastaların tanımlanması ve yönetiminde gerekli malzemeler için hastalıkla mücadele malzemelerin bulunduğu paketler hazırlanmıştır.
- Hayvanlardan insanlara bulaşma riskini azaltmak için önerilerde bulunulmuştur.
- DSÖ, yeni koronavirüs (2019-nCoV) salgınıyla ilgili olarak uluslararası trafik için güncellenmiş bir tavsiye yayınlanmıştır.
- Teşhis, aşılar ve terapötiklerin hızlandırılması için Ar-Ge planı etkinleştirilmiştir.
- DSÖ, yeni koronavirüsler de dahil olmak üzere ortaya çıkan solunum virüslerine genel bir bilgi sağlamak için çevrimiçi/online bir kurs geliştirmiştir.
- DSÖ, yeni bir virüs salgınında kritik olan incelemenin erken yapılması için rehberlik sağlamaktadır. Çalışma protokollerinden toplanan veriler, sürveyans ve vaka tanımları için önerileri iyileştirmek, 2019-nCoV'un temel epidemiyolojik bulaşma özelliklerini karakterize etmek, yayılma, şiddet, hastalık spektrumu, toplum üzerindeki etkiyi anlamak ve operasyonel modelleri ve vaka izolasyonu, temaslı takibi ve izolasyon gibi karşı önlemlerin uygulanması konusunda bilgilendirmek için kullanılabilir. Çeşitli protokoller burada bulunabilir: https://www.who.int/emergencies/diseases/novel-coronavirus-2019/technical-guidance/early-investigations
- DSÖ, sürveyans, epidemiyoloji, modelleme, teşhis, klinik bakım ve tedavi ve hastalığı tanımlamanın, yönetmenin ve ilerlemeyi sınırlamanın diğer yollarıyla ilgili küresel çalışmaları koordine etmek için araştırmacılar ve diğer uzman ağlarıyla birlikte çalışmaktadır. DSÖ, mevcut durumu dikkate alacak şekilde güncellenen ülkeler için geçici rehber yayınlamıştır.
- DSÖ, laboratuvar, enfeksiyon önleme ve kontrol, klinik yönetim ve matematiksel modelleme için küresel uzman ağları ve ortaklıkların kullanılması için çalışmaktadır.
HALK İÇİN TAVSİYELER
Diğer koronavirüs (Orta Doğu Solunum Sendromu (MERS) ve Şiddetli Akut Solunum Sendromu (SARS) ) nedeniyle önceki salgınlar sırasında, insandan insana bulaşma damlacıklar, temas ve fomitler yoluyla gerçekleşmiştir, bu da 2019-nCoV'nin bulaşma yolunun benzer olabileceğini düşündürmektedir. Akut solunum yolu enfeksiyonu genel bulaşma riskini azaltmak için temel ilkeler aşağıdaki gibidir:
- Akut solunum yolu enfeksiyonu geçiren kişilerle yakın temastan kaçınmak.
- Özellikle hasta insanlarla veya çevreleriyle doğrudan temas ettikten sonra sık sık el yıkamak.
- Çiftlik hayvanları veya vahşi hayvanlarla korunmasız temastan kaçınmak.
- Akut solunum yolu enfeksiyonu semptomları olan kişiler öksürürken görgü kurallarına uymalıdır (başka insanlarla mesafeyi koruyun, öksürürken ve hapşırırken tek kullanımlık mendil veya kıyafetler kullanarak ağız ve burnunuzu örtün ve ellerinizi yıkayın).
- Sağlık tesislerinde, hastanelerde, özellikle acil servislerde standart enfeksiyon önleme ve kontrol uygulamalarını yaymak.
DSÖ, gezginler için belirli bir sağlık önlemi önermemektedir. Seyahat sırasında veya sonrasında solunum yolu hastalığını düşündüren semptomlar olması durumunda, gezginlerin tıbbi yardım almaları ve seyahat geçmişlerini sağlık uzmanlarıyla paylaşmaları tavsiye edilir.

