DÜNYA SAĞLIK ÖRGÜTÜ’NÜN 22.02.2020 TARİHLİ YENİ KORONAVİRÜS (COVID-19) DURUM RAPORU
Sağlık hizmetleri ve halk sağlığı profesyonelleri için koronavirüs hastalığının yüzeyden örneklenmesinin (COVID-19) nasıl yapılacağına dair pratik bir protokol yayınlanmıştır.
22 Şubat 2020 Orta Avrupa Zaman Dilimine göre saat 10.00 da bildirilen veriler*
ÖNEMLİ GELİŞMELER
- İki yeni ülke (Lübnan ve İsrail) son 24 saat içinde COVID-19 vakaları bildirdi.
- COVID-19'un bulaşmasında çevresel kirlenmenin rolü henüz net değildir.18 Şubat'ta “sağlık hizmetleri ve halk sağlığı profesyonelleri için koronavirüs hastalığının yüzeyden örneklenmesinin (COVID-19) nasıl yapılacağına dair pratik bir protokol” yayınlandı https://www.who.int/emergencies/diseases/novel-coronavirus-2019/technical-guidance/early-investigations. Bu protokol, bir COVID-19 hastasının bakım aldığı veya izole edildiği çeşitli konumlardaki fomitlerde (bulaşıcı hastalık etkenini taşıyan herhangi bir cisim veya madde) canlı virüs varlığını ve kalıcılığını belirlemek ve fomitlerin virüsün bulaşmasında nasıl bir rol oynayabileceğini anlamak için tasarlanmıştır.
- DSÖ Genel Direktörü, Afrika Birliği ve Afrika Hastalık Kontrol ve Önleme Merkezleri tarafından düzenlenen COVID-19 hakkındaki acil bakanlık toplantısına bilgi verdi. Bu toplantıda DSÖ Genel Direktörü aşağıdaki konulara değinmekle birlikte ayrıntılara buradan ulaşılabilir. https://www.who.int/dg/speeches/detail/emergency-ministerial-meeting-on-covid-19-organized-by-the-african-union-and-the-africa-centres-for-disease-control-and-prevention
- DSÖ Genel Direktörü yaptığı açıklamada özetle; “Çin'den gelen veriler yeni vakalarda düşüş göstermeye devam ediyor. Bu iyi bir haber, ama çok dikkatli bir şekilde yorumlanmalıdır. Bu salgın hakkında tahminlerde bulunmak için henüz çok erken. Çin dışındaki toplam vaka sayısı nispeten az olsa da, Çin'e seyahat geçmişi veya teyit edilmiş bir vaka ile temas gibi net bir epidemiyolojik bağı olmayan vakaların sayısından endişe duyuyoruz. Özellikle son iki günde 18 vaka ve 4 ölümün yaşandığı İran İslam Cumhuriyeti'ndeki vakalardaki artıştan endişe duyuyoruz. Hastaların % 80'inden fazlasının hafif hastalığı olduğunu ve iyileşeceğini biliyoruz. Ancak hastaların diğer % 20'sinde nefes darlığından septik şok ve çoklu organ yetmezliğine kadar değişen ciddi veya kritik bir hastalık söz konusudur. Bildirilen vakaların %2'sinde virüs ölümcüldür ve ölüm riski, hastanın yaşı büyüdükçe ve altta yatan sağlık durumlarıyla birlikte artmaktadır. Çocuklar arasında nispeten az sayıda vaka görüyoruz. Elbette nedenini anlamak için daha fazla araştırmaya ihtiyaç var " dedi.
|
SAYILARLA DURUM |
|
Total ve son 24 saatte yeni vaka sayıları |
|
Küresel |
|
77. 794 doğrulanmış (599 yeni) |
|
Çin |
|
76. 392 doğrulanmış (397 yeni) |
|
2. 348 ölüm (109 yeni) |
|
Çin Dışında |
|
1.402 doğrulanmış (202 yeni) |
|
28 ülke (2 yeni) |
|
11 Ölüm (3 yeni) |
|
DSÖ RİSK DEĞERLENDİRMESİ |
|
Çin : Çok Yüksek |
|
Bölgesel düzeyde : Yüksek |
|
Küresel düzeyde : Yüksek |
* Durum raporu uluslararası yetkililerin Orta Avrupa Saat Dilimine göre sabah 10 itibariyle verdiği bilgileri içermektedir.
Şekil 1. 21 Şubat 2020 itibariyle doğrulanmış COVID-19 vakalarının bildirildiği ülkeler, yönetim bölgeleri veya bölgeler


ODAK KONU: Halk Sağlığı Yanıtı kapsamında Erken Epidemiyolojik ve Klinik Araştırmalar için yeni protokol
COVID-19 için bulaşma biçimi, şiddeti, klinik özellikleri ve risk faktörleri bilgisi şu anda genel nüfus içinde, sağlık çalışanları arasında, ev halkı ve diğer “kapalı” ortamlarda sınırlıdır.
18 Şubat'ta “sağlık hizmetleri ve halk sağlığı profesyonelleri için koronavirüs hastalığının yüzeyden örneklenmesinin (COVID-19) nasıl yapılacağına dair pratik bir protokol” isminde yeni bir ana protokol yayınlanmıştır. https://www.who.int/emergencies/diseases/novel-coronavirus-2019/technical-guidance/early-investigations
COVID-19'un bulaşmasında çevresel kontaminasyonun rolü henüz net değildir. Bu protokol, bir COVID-19 hastasının bakım aldığı veya izole edildiği çeşitli konumlardaki fomitlerde (bulaşıcı hastalık etkenini taşıyan herhangi bir cisim veya madde) canlı virüs varlığını ve kalıcılığını belirlemek ve fomitlerin bu ortamlarda virüsün bulaşmasında nasıl bir rol oynayabileceğini anlamak için tasarlanmıştır. Yüzey örneklemesinin kapsamlı bir salgın araştırmasının bir parçası olarak yapılması ve çevre çalışmaları sonucundaki bilgilerin epidemiyolojik ve laboratuvar araştırmalarından elde edilen bulgularla birleştirilmesi önemlidir.
Bir hatırlatma olarak, COVID-19 için birkaç erken araştırma ana protokolü ve ana formlar mevcuttur:
Daha fazla bilgi için şu adresi ziyaret edin:
SÜRVEYANS
Tablo 1. Çin'deki vilayetler, bölgeler ve şehirler tarafından bildirilen COVID-19 akut solunum hastalığı vakaları, 22 Şubat 2020

*Tutarsız bilgiler nedeniyle değişiklik yapılabilir.
Tablo 2. Çin dışında doğrulanan COVID-19 vakalarının bildirildiği ülkeler, bölgeler veya alanlar, 22 Şubat 2020
|
Ülke/Yönetim Bölgesi/Bölge |
Doğrulanmış* (yeni) Vakalar |
Muhtemel Maruz Kalma Yeri** |
|
Toplam Ölüm (yeni) |
||
|
Çin (yeni) |
Bildiren Ülke ve Çin Dışında (yeni) |
Bildiren Ülkede (yeni) |
||||
|
Batı Pasifik Bölgesi |
||||||
|
Güney Kore |
346 (142) |
13 (0) |
4 (0) |
288 (130) |
41 (12) |
2 (1) |
|
Japonya |
105 (12) |
28 (1) |
5 (0) |
68 (11) |
4(0) |
1 (0) |
|
Singapur |
86 (1) |
23 (0) |
0 (0) |
56 (1) |
7 (0) |
0 (0) |
|
Malezya |
22 (0) |
17 (0) |
1 (0) |
2 (0) |
2 (0) |
0 (0) |
|
Vietnam |
16 (0) |
8 (0) |
0 (0) |
8 (0) |
0 (0) |
0 (0) |
|
Avustralya |
17 (0) |
12 (0) |
2 (2) |
3 (0) |
0 (0) |
0 (0) |
|
Filipinler |
3 (0) |
3 (0) |
0 (0) |
0 (0) |
0 (0) |
1 (0) |
|
Kamboçya |
1 (0) |
1 (0) |
0 (0) |
0 (0) |
0 (0) |
0 (0) |
|
Güney Doğu Asya Bölgesi |
||||||
|
Tayland |
35 (0) |
23 (0) |
0 (0) |
5 (0) |
7 (0) |
0 (0) |
|
Hindistan |
3 (0) |
3 (0) |
0 (0) |
0 (0) |
0 (0) |
0 (0) |
|
Nepal |
1 (0) |
1 (0) |
0 (0) |
0 (0) |
0 (0) |
0 (0) |
|
Sri Lanka |
1 (0) |
1 (0) |
0 (0) |
0 (0) |
0 (0) |
0 (0) |
|
Amerika Bölgesi |
||||||
|
Amerika Birleşik Devletleri |
35 (20) |
14 (1) |
18 (18) |
2 (0) |
1 (1) |
0 (0) |
|
Kanada |
8 (0) |
7 (0) |
0 (0) |
0 (0) |
1 (0) |
0 (0) |
|
Avrupa Bölgesi |
||||||
|
Almanya |
16 (0) |
2 (0) |
0 (0) |
14 (0) |
0 (0) |
0 (0) |
|
Fransa |
12 (0) |
5 (0) |
0 (0) |
7 (0) |
0 (0) |
1 (0) |
|
Birleşik Krallık |
9 (0) |
2 (0) |
6 (0) |
1 (0) |
0 (0) |
0 (0) |
|
İtalya |
3 (0) |
3 (0) |
0 (0) |
0 (0) |
0 (0) |
0 (0) |
|
Rusya |
2 (0) |
2 (0) |
0 (0) |
0 (0) |
0 (0) |
0 (0) |
|
İspanya |
2 (0) |
0 (0) |
2 (0) |
0 (0) |
0 (0) |
0 (0) |
|
Belçika |
1 (0) |
1 (0) |
0 (0) |
0 (0) |
0 (0) |
0 (0) |
|
Finlandiya |
1 (0) |
1 (0) |
0 (0) |
0 (0) |
0 (0) |
0 (0) |
|
İsveç |
1 (0) |
1 (0) |
0 (0) |
0 (0) |
0 (0) |
0 (0) |
|
Doğu Akdeniz Bölgesi |
||||||
|
Birleşik Arap Emirlikleri |
11 (2) |
6 (0) |
0 (0) |
5 (2) |
0 (0) |
0 (0) |
|
İran |
18 (13) |
0 (0) |
0 (0) |
18 (13) |
0 (0) |
4 (2) |
|
Mısır |
1 (0) |
0 (0) |
0 (0) |
1 (0) |
0 (0) |
0 (0) |
|
Lübnan |
1 (1) |
0 (0) |
1 (1) |
0 (0) |
0 (0) |
0 (0) |
|
İsrail |
1 (1) |
0 (0) |
1 (1) |
0 (0) |
0 (0) |
0 (0) |
|
Tüm Bölgeler İçin alt toplam |
768 (202) |
177 (2) |
44 (24) |
484 (163) |
63 (13) |
9 (0) |
|
Uluslararası Taşıt*** |
634 (13) |
0 (0) |
0 (0) |
0 (0) |
634 (13) |
2 (0) |
|
Genel Toplam |
1402 (202) |
177 (2) |
44 (24) |
484 (163) |
697 (13) |
11 (3) |
* Vaka sınıflandırmaları DSÖ’nün COVID-19 vaka tanımlarına dayanmaktadır. https://www.who.int/publications-detail/global-surveillance-for-human-infection-with-novel-coronavirus-(2019-ncov)
** Bulaşmanın yeri, mevcut resmi verilerin DSÖ analizine göre sınıflandırılır ve ek veriler elde edildikçe yeniden sınıflandırmaya tabi olabilir.
*** Şu anda Japon karasularında bulunan bir yolcu gemisinde tespit edilen vakalar.
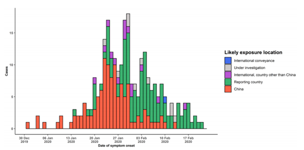
Şekil 2: Çin dışında, semptomların başladığı tarihe göre doğrulanan COVID-19 vakalarının (n=261) epidemik eğrisi ve seyahat geçmişi, 22 Şubat 2020


Şekil 2 için not: Çin dışında bildirilen 1402 vakanın 30’u asemptomatikken tespit edilmiştir. Geri kalan 1372 vaka için, başlangıç tarihi hakkında bilgi sadece epidemiyolojik eğride sunulan 261 vaka için mevcuttur.
Şekil 3: Raporlama ve seyahat geçmişine göre Çin dışında tespit edilen COVID-19 vakalarının (n = 1402) epidemik eğrisi, 22 Şubat 2020


STRATEJİK HEDEFLER
DSÖ'nün söz konusu müdahaleye yönelik stratejik hedefleri:
- Yakın temaslılar ve sağlık çalışanları arasındaki ikincil enfeksiyonları azaltmak, hastalığın daha fazla yayılması ve Çin'den uluslararası yayılmaların önlenmesi dahil olmak üzere insandan insana bulaşmayı sınırlamak*;
- Enfekte hastalar için optimize edilmiş bakım sağlamak da dahil, hastaların erken teşhis edilmesi, izole edilmesi ve bakımının yapılması;
- Hayvan kaynağından bulaşmayı tanımlamak ve azaltmak;
- Virüsle ilgili önemli olan bilinmeyenleri ve klinik şiddeti, bulaşma ve enfeksiyonun kapsamı, tedavi seçeneklerini ele almak ve teşhis, tedavi ve aşıların geliştirilmesini hızlandırmak;
- Kritik risk ve durumla ilgili bilgileri tüm topluluklara iletmek ve yanlış bilgilendirmeyle mücadele etmek;
- Çok sektörlü ortaklıklar yoluyla sosyal ve ekonomik etkiyi en aza indirgemek.
*Bu, hızlı tespit, vakaların teşhisi ve yönetimi, temaslıların tespit edilmesi ve takibi, sağlık tesislerinde enfeksiyon önleme ve kontrol, gezginler için sağlık önlemlerinin uygulanması, popülasyonda bilinçlendirme ve risk iletişimi gibi halk sağlığı önlemlerinin bir kombinasyonu ile elde edilebilir.
HAZIRLIK VE YANIT
- 2019-nCoV ile ilgili tüm teknik rehberlik belgelerini görüntülemek için lütfen bu adresi ziyaret edin: https://www.who.int/emergencies/diseases/novel-coronavirus-2019/technical-guidance
- DSÖ, Uluslararası Hava Taşımacılığı Birliği (IATA) ile yakın işbirliği içinde çalışmaktadır ve kabin ekibine ve havaalanı çalışanlarına ülke sorgularına dayanarak tavsiyelerde bulunmak üzere ortaklaşa bir rehber belge geliştirmiştir. Rehber, IATA web sayfasında bulunabilir.
- DSÖ ilk vakaların soruşturulması için bir protokol geliştirmiştir “First Few X (FFX) Cases and contact investigation protocol for 2019-novel coronavirus (2019-nCoV) infection”. Protokol, herhangi bir ülkede tespit edilen ilk 2019-nCoV enfeksiyonlu vakaların temel klinik, epidemiyolojik ve virolojik özelliklerini erken anlamak, vakaları yönetmek ve potansiyel yayılmayı azaltmak için halk sağlığı rehberliğinin geliştirilmesi ve güncellenmesi için tasarlanmıştır.
- DSÖ, vakaların bildirildiği Üye Devletler ile düzenli ve doğrudan temas halindedir. DSÖ ayrıca durum hakkında diğer ülkeleri bilgilendirmekte ve talep halinde destek sağlamaktadır.
- DSÖ, laboratuvar teşhisi, yeni koronavirüs (2019-nCoV) salgını bağlamında evde bakım ve sağlık ortamlarında maske kullanımı ile ilgili tavsiyeler, klinik yönetimi, sağlık ortamlarında enfeksiyonun önlenmesi ve kontrolü, yeni koronavirüs şüphesi olan hastalar için evde bakım, risk iletişimi ve topluluk katılımı ve yeni koronavirüs (2019-nCoV) bulaşan insanlar için Global Sürveyans gibi geçici rehberler geliştirmiştir.
- Doğrulanmış hastaların tanımlanması ve yönetiminde gerekli malzemeler için hastalıkla mücadele malzemelerin bulunduğu paketler hazırlanmıştır.
- Hayvanlardan insanlara bulaşma riskini azaltmak için önerilerde bulunulmuştur.
- DSÖ, yeni koronavirüs (2019-nCoV) salgınıyla ilgili olarak uluslararası trafik için güncellenmiş bir tavsiye yayınlanmıştır.
- Teşhis, aşılar ve terapötiklerin hızlandırılması için Ar-Ge planı etkinleştirilmiştir.
- DSÖ, yeni koronavirüsler de dahil olmak üzere ortaya çıkan solunum virüslerine genel bir bilgi sağlamak için çevrimiçi/online bir kurs geliştirmiştir.
- DSÖ, yeni bir virüs salgınında kritik olan incelemenin erken yapılması için rehberlik sağlamaktadır. Çalışma protokollerinden toplanan veriler, sürveyans ve vaka tanımları için önerileri iyileştirmek, 2019-nCoV'un temel epidemiyolojik bulaşma özelliklerini karakterize etmek, yayılma, şiddet, hastalık spektrumu, toplum üzerindeki etkiyi anlamak ve operasyonel modelleri ve vaka izolasyonu, temaslı takibi ve izolasyon gibi karşı önlemlerin uygulanması konusunda bilgilendirmek için kullanılabilir. Çeşitli protokoller burada bulunabilir: https://www.who.int/emergencies/diseases/novel-coronavirus-2019/technical-guidance/early-investigations
- DSÖ, sürveyans, epidemiyoloji, modelleme, teşhis, klinik bakım ve tedavi ve hastalığı tanımlamanın, yönetmenin ve ilerlemeyi sınırlamanın diğer yollarıyla ilgili küresel çalışmaları koordine etmek için araştırmacılar ve diğer uzman ağlarıyla birlikte çalışmaktadır. DSÖ, mevcut durumu dikkate alacak şekilde güncellenen ülkeler için geçici rehber yayınlamıştır.
- DSÖ, laboratuvar, enfeksiyon önleme ve kontrol, klinik yönetim ve matematiksel modelleme için küresel uzman ağları ve ortaklıkların kullanılması için çalışmaktadır.
HALK İÇİN TAVSİYELER
Diğer koronavirüs (Orta Doğu Solunum Sendromu (MERS) ve Şiddetli Akut Solunum Sendromu (SARS) ) nedeniyle önceki salgınlar sırasında, insandan insana bulaşma damlacıklar, temas ve fomitler yoluyla gerçekleşmiştir, bu da 2019-nCoV'nin bulaşma yolunun benzer olabileceğini düşündürmektedir. Akut solunum yolu enfeksiyonu genel bulaşma riskini azaltmak için temel ilkeler aşağıdaki gibidir:
- Akut solunum yolu enfeksiyonu geçiren kişilerle yakın temastan kaçınmak.
- Özellikle hasta insanlarla veya çevreleriyle doğrudan temas ettikten sonra sık sık el yıkamak.
- Çiftlik hayvanları veya vahşi hayvanlarla korunmasız temastan kaçınmak.
- Akut solunum yolu enfeksiyonu semptomları olan kişiler öksürürken görgü kurallarına uymalıdır (başka insanlarla mesafeyi koruyun, öksürürken ve hapşırırken tek kullanımlık mendil veya kıyafetler kullanarak ağız ve burnunuzu örtün ve ellerinizi yıkayın).
- Sağlık tesislerinde, hastanelerde, özellikle acil servislerde standart enfeksiyon önleme ve kontrol uygulamalarını yaymak.
DSÖ, gezginler için belirli bir sağlık önlemi önermemektedir. Seyahat sırasında veya sonrasında solunum yolu hastalığını düşündüren semptomlar olması durumunda, gezginlerin tıbbi yardım almaları ve seyahat geçmişlerini sağlık uzmanlarıyla paylaşmaları tavsiye edilir.

